I'll admit it right off: this week, I did not have a lot of time to spare for Hacktoberfest, so I was unable to tackle a new goal (out of the ones I set for myself at the start of the month). Nevertheless, I did not want to jank up the weekly momentum I had by missing a contribution, so I simply opted for a simple one instead. I found a nice project, by GitHub user vichitr, that focused on encouraging amateur contributors during Hacktoberfest, not unlike the last repo I contributed to. Instead of focusing on design patterns, vichitr's project contains a variety of issues that programmers are invited to tackle.
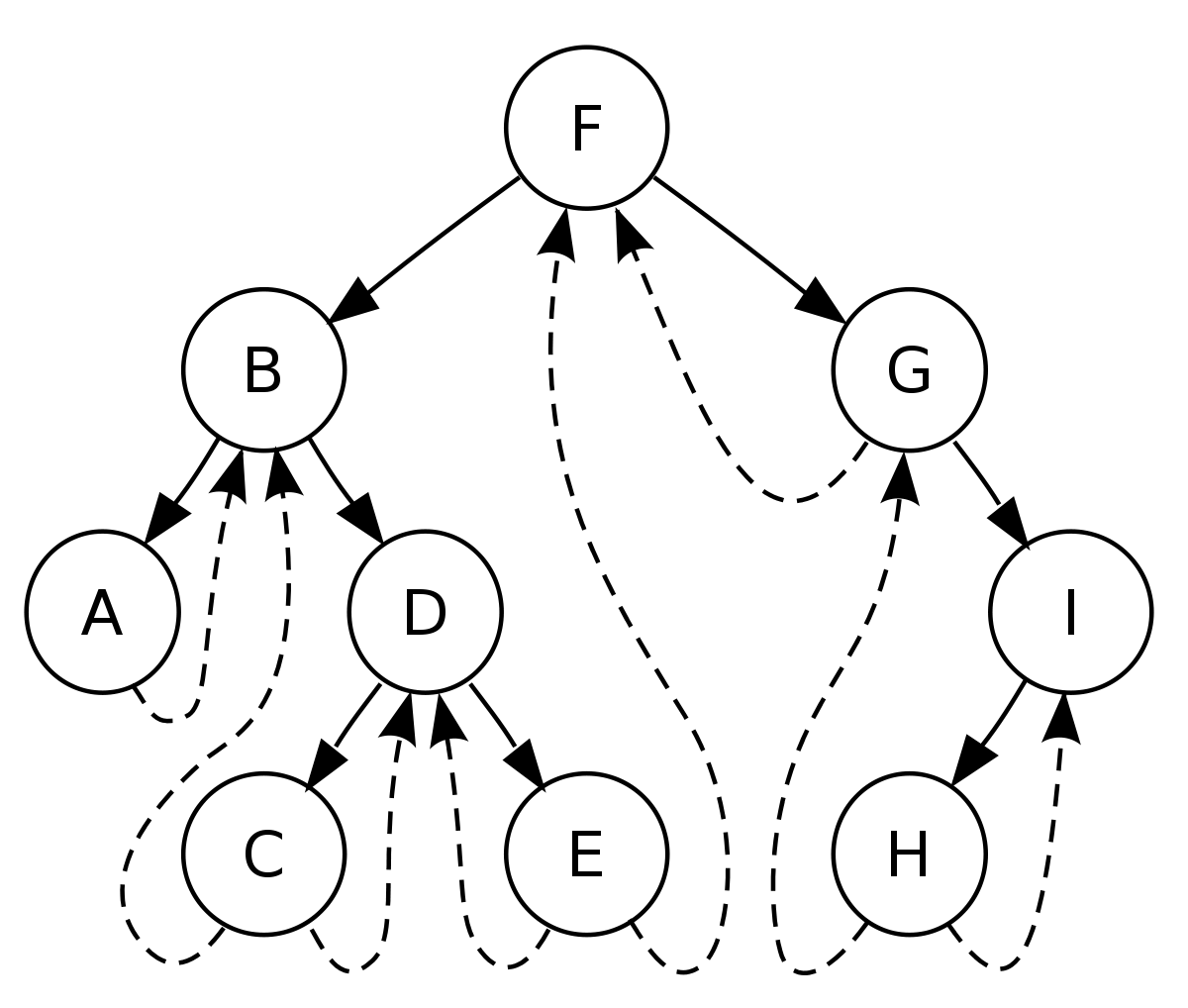
I decided to contribute to issue #6 on the repo, which is to implement a data structure in the language of your choice. Since I was short on time for the week, I decided to contribute a threaded tree by overhauling a previous project I did as a school assignment. A threaded tree is a binary search tree that supports easy, in-order traversal of its values. Normally, a node in a binary search tree will have a null reference if it does not contain any children (either to its left, right, or both). A threaded tree converts these null references to point to the next, in-order successor.
I decided to make this augmentation to my original, much simpler binary tree class, as well as implement an iterator that would help traverse and find specific values. However, this decision turned out to be a bit more work than I anticipated. First of all, the binary search tree from my old assignment was severely outdated (and admittedly, rather poorly written!), and I had improved in my programming skills since I'd written the original code. I had to take the time to carefully analyze the code, correct bugs, memory leaks, and make additional comments in order to bring it up to my own current standards, as well as the standards of a public contribution. It isn't easy getting into one's own headspace from years ago! After I'd spent almost too long fixing my own, old code, I affected the changes necessary to augment the BST to a threaded tree.
All of the work made me wonder if it would have been more efficient if I simply wrote the entire implementation from scratch, rather than trying to build off of my old code.
In the end, I was able to submit a pull request to the project as a contribution to their collection of C++ data structures. Hopefully I will have a lot more time next week to make a far more meaningful contribution!
I decided to contribute to issue #6 on the repo, which is to implement a data structure in the language of your choice. Since I was short on time for the week, I decided to contribute a threaded tree by overhauling a previous project I did as a school assignment. A threaded tree is a binary search tree that supports easy, in-order traversal of its values. Normally, a node in a binary search tree will have a null reference if it does not contain any children (either to its left, right, or both). A threaded tree converts these null references to point to the next, in-order successor.
![]() |
| Visual example of a threaded binary search tree (image from Wikipedia) |
All of the work made me wonder if it would have been more efficient if I simply wrote the entire implementation from scratch, rather than trying to build off of my old code.
In the end, I was able to submit a pull request to the project as a contribution to their collection of C++ data structures. Hopefully I will have a lot more time next week to make a far more meaningful contribution!

Comments
Post a Comment